Гипотиреоз – болезнь щитовидной железы. В памятке пациентам: причины развития, симптомы, диагностика и лечение.
Гипотиреоз (коды по МКБ-10 от Е 00 до Е 03.9) — это клинический синдром, который показывает изменения в организме, происходящие при стойком дефиците гормонов щитовидной железы.
По статистике, заболеваемость населения РФ колеблется в пределах 0,6-3,5 случаев на 1000 человек в год.
↯
Больше статей в журнале
«Заместитель главного врача»
Активировать доступ
Врожденные формы патологии встречаются у одного малыша на 4-5 тысяч новорожденных.
Частота субклинического гипотиреоза варьирует от 7 до 10%, у женщин патология встречается в 6 раз чаще, чем у мужчин.
✔ Международный классификатор болезней 10-го пересмотра, краткая версия в Системе Консилиум
Коды по МКБ-10
В международной классификации болезней от 10 пересмотра гипотиреоз проходит под разными состояниями в зависимости от причины и формы патологии:
Е00 — Синдром врожденной йодной недостаточности.
Е01 — Болезни щитовидной железы, связанные с йодной недостаточностью и сходные состояния.
Е02 — Субклинический гипотиреоз вследствие йодной недостаточности.
Е03 — Другие формы гипотиреоза.
- Е03.1 — Врожденный гипотиреоз без зоба.
- Е03.2 — Медикаментозный гипотиреоз и вызванный другими экзогенными веществами.
- Е03.3 — Постинфекционный гипотиреоз.
- Е03.4 — Приобретенная атрофия щитовидной железы.
- Е03.5 — Микседематозная кома.
- Е03.8 — Другие уточненные гипотиреозы.
- Е03.9 — Гипотиреоз неуточненный.
Успеете скачать всё, что нужно, по демодоступу за 3 дня?
Активировать
Формы
В зависимости от уровня поражения выделяют первичный и вторичный гипотиреоз.
Первичный гипотиреоз
Является наиболее частой формой заболевания. При этом нарушается работа самой железы вследствие недоразвития, дефицита тканей или уменьшения выработки гормонов при сохраненном органе.
Врожденный гипотиреоз (код по МКБ-10 Е03.1) может быть вследствие аплазии или гипоплазии щитовидной железы.
Приобретенный первичный гипотиреоз является следствием удаления органа хирургическом путем (послеоперационный гипотиреоз, код по МКБ-10 — Е03.8), воздействия радиационного облучения, аутоиммунного поражения тканей (как стадия тиреоидита), может развиваться после перенесенной вирусной инфекции или на фоне опухолей в органе.
✔ Медицинские мероприятии для диагностики, порядок в Системе Консилиум
Скачать документ сейчас
Гипотиреоз может быть вызван недостаточным образованием тиреоидных гормонов при дефиците йода (эндемический и спорадический), под воздействием препаратов (тиреостатики, цитостатики и пр.), на фоне зобогенного питания.
По степени тяжести первичный гипотиреоз может быть:
- латентный (субклинический, легкая степень) — устанавливается, если при нормальном Т4 повышен ТТГ;
- манифестный (средняя степень тяжести) — Т4 снижен, ТТГ повышен; в зависимости от степени выраженности клинических проявлений может быть компенсированным и субкомпенсированным;
- тяжелого течения — при наличии таких осложнений, как кретинизм, сердечная недостаточность, выпот в серозные полости, вторичная аденома гипофиза.
Вторичный (центральный)
В случае вторичного гипотиреоза в головном мозге нарушается выработка веществ, регулирующих работу щитовидной железы.
Это может быть дефицит ТТГ (образуется в гипофизе) или ТТГ-рилизинг гормона (в гипоталамусе).
Помимо этого, причина гипотиреоза может скрываться в нечувствительности клеток к гормонам, циркулирующим в крови (частичная или полная резистентность тканей), и в результате инактивации Т3, Т4 или ТТГ иммунными комплексами.
Клинические проявления
При субклиническом течении симптомы малозаметны или вообще отсутствуют. Все остальные формы имеют подобные черты.
К частым проявлениям заболевания можно отнести следующие жалобы: грубая, сухая, холодная кожа; выпадение волос, исчезновение их блеска, появление тусклости и сухости; отек — лица, ног; склонность к набору массы тела; утомляемость, чувство постоянной усталости, замедленное мышление, сонливость; склонность к гипотонии.
Реже пациенты жалуются на низкую температуру тела, запоры, увеличение языка, боли в мышцах; склонность к депрессиям; плохую переносимость физических нагрузок; галакторею, брадикардию.
Проявления заболевания неспецифические и развиваются годами, поэтому многие не замечают их за собой или списывают на что-то другое.
Часть симптомов зависит от возраста, в котором заболевание манифестирует.
Например, у детей гипотиреоз дополнительно проявляется задержкой роста, у молодых девушек — нарушениями менструального цикла, бесплодие, снижение либидо, у пожилых развивается слабоумие.
Лабораторная диагностика
Для установления диагноза в обязательном порядке необходимо исследование гормонального профиля пациента.
В большинстве случаев достаточно определение ТТГ. Если он находится в пределах нормальных значений (0,1-4,0 мЕд/л) либо изначально крайне высокий (более 10 мЕд/л), изучать значения Т3 и Т4 нет необходимости.
При пограничных анализах достаточно определение Т4 и ТТГ.
Уровень Т3 исследовать нецелесообразно вообще, так как этот гормон снижается только после истощения запасов Т4.
Остальные лабораторные исследования несут неспецифическую информацию:
- в общем анализе крови часто обнаруживается анемия;
- в биохимическом — повышаются значения холестерина, ТГ, ЛПНП, ферментов;
- в анализах на другие гормоны возможно повышение уровня пролактина, снижение эстрадиола (у женщин) и тестостерона (у мужчин).
При подозрении на центральный гипотиреоз необходимо проведение пробы с тиролиберином.
Инструментальная диагностика
Обычно обнаруженные изменения не имеют специфических признаков. При УЗИ щитовидной железы часто отмечается уменьшение ее объема и неоднородность структур.
УЗИ внутренних органов в норме либо обнаруживается увеличение печени, выпот в брюшную полость.
При записи ЭКГ — брадикардия, низкий вольтаж зубцов, отклонение ЭОС влево, расширение комплексов и интервалов.
Читайте также: Идиопатическая код по мкб 10
При рентгенографии могут определяться увеличенные размеры сердца и скопление жидкости в плевральной полости. МРТ или КТ области турецкого седла проводится при подозрении на патологии в этой области.
Лечение
Гипотиреоз (код по МКБ-10 любой) у взрослых и детей является показанием для назначения заместительной гормональной терапии (ЗГТ) под клинико-лабораторным контролем. Цель — уровень ТТГ от 0,1 до 1,5 мЕд/л и Т4 на верхней границе нормы.
Предпочтительнее назначать препараты на основе левотироксина натрия. Последние исследования о большей эффективности лечения комбинированными средствами (Т3+Т4) не подтвердились.
Суточная доза устанавливается индивидуально. Лабораторный контроль эффективности лечения проводится через 6-8 недель. При необходимости назначения корректируются.
Принимать препараты необходимо пожизненно, соблюдая следующие условия:
- строго утром натощак;
- раз в сутки;
- в одно и то же время;
- другие препараты нужно принимать не ранее, чем через 4 часа.
Потребности в гормонах во многом зависят от образа жизни, характера питания, возраста (у детей и беременных выше, чем у пожилых).
Расчет дозы гормона
Подбор дозы проводится в индивидуальном порядке, а адекватность назначений необходимо постоянно контролировать и корректировать при недостаточной или избыточной дозе.
Первоначально можно воспользоваться следующим алгоритмами. Детям назначается левотироксин из расчета 2 мкг/кг веса, новорожденным — 10-15 мкг/кг.
Молодым пациентам (до 55 лет) — 1,6-1,8 мкг/мл с начальной дозой в 25-50 мкг/сутки.
Пациентам после 55 лет или в случае сердечно-сосудистой патологии рекомендовано 0,9 мкг/кг веса и начальная доза 12,5-25 мкг/сутки.
Справочник болезней
«Диагностика достигла таких успехов, что здоровых людей практически не осталось» Бертран Рассел
ЭТИОЛОГИЯ
• Хронический аутоиммунный тиреоидит (Хашимото, лимофцитарный).
• Тиреоидиты (лучевой, вирусный, послеродовый, лекарственный).
• Тиреоидэктомия, радиойодтерапия.
• Тиреостатики.
• Медикаменты (амиодарон, литий, вальпроат).
• Выраженный дефицит или избыток йода.
• Рак щитовидной железы, метастазы.
• Врожденный.
• Опухоль гипофиза, гипоталамуса.
• Синдром Шихана (послеродовый некроз гипофиза).
• Идиопатический.
Внешний вид при микседеме
СУБЪЕКТИВНЫЕ ПРОЯВЛЕНИЯ
• Непереносимость холода.
• Судороги мышц.
• Осиплость голоса.
• Слабость.
• Повышенная утомляемость.
• Сонливость.
• Забывчивость.
• Запоры.
Симптомы гипотиреоза и гормоны щитовидной железы
Canaris G, et al. Arch Intern Med. 2000;160:526–34.
ОБЪЕКТИВНЫЕ ПРОЯВЛЕНИЯ
• Нарастание веса.
• Сухая, холодная и бледная кожа.
• Медленная речь.
• Выпадение волос.
• Брадикардия.
• Гиперхолестеринемия.
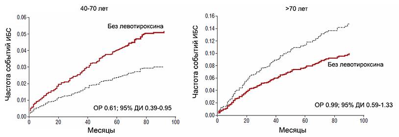
Гипотиреоз и сердечно-сосудистые события
Сердечно-сосудистые риски после реваскуляризации. Zhang M, et al. Eur Heart J. 2016;37:2055–65.
ЛАБОРАТОРНАЯ ДИАГНОСТИКА
Гипотиреоз
• Тиреотропный гормон (0.4–4.0 мкEд/мл): повышен.
• Т4 свободный (9–22 пмоль/л): снижен.
Тиреоидит
• Антитела к тиреоидной пероксидазе (<1:100): повышены.
• Антитела к тиреоглобулину: повышены.
ТИПЫ ГИПОТИРЕОЗА
• Субклинический гипотиреоз: повышение концентрации ТТГ с нормальным уровнем свободного Т4 в плазме крови.
• Явный гипотиреоз: аномально высокая концентрация ТТГ со снижением свободного Т4 в плазме крови.
ДИАГНОСТИЧЕСКИЙ АЛГОРИТМ
ПОКАЗАНИЯ ДЛЯ СКРИНИНГА ГИПОТИРЕОЗА (AACE/ATA)
• Аутоиммунные заболевания (например, диабет 1 типа).
• Пернициозная анемия.
• Родственники первой линии с аутоиммуными заболеваниями щитовидной железы.
• Облучение шеи, включая терапию радиоактивный йодом.
• Хирургия щитовидной железы.
• Дисфункция щитовидной железы в анамнезе.
• Психические расстройства.
• Прием лекарств: амиодарон, литий.
• Заболевания: неспецифические аритмии, удлинение интервала QT, гипертензия, сердечная недостаточность, гиперхолестеринемия, запор, неспецифическая миопатия, увеличение массы тела.
Ультразвуковое исследование
Аутоиммунный тиреоидит Хашимото: гипоэхогенность, грубая эхоструктура, гиперваскуляризация.
КЛАССИФИКАЦИЯ МКБ-10
• Субклинический гипотиреоз вследствие йодной недостаточности [E02.0].
• Врожденный гипотиреоз с диффузным зобом [E03.0].
• Врожденный гипотиреоз без зоба [E03.1].
• Гипотиреоз, вызванный медикаментами и другими веществами [E03.2].
• Постинфекционный гипотиреоз [E03.3].
• Атрофия щитовидной железы (приобретенная) [E03.4].
• Микседематозная кома [E03.5].
• Другие уточненные гипотиреозы [E03.8].
• Гипотиреоз неуточненный [E03.9].
• Аутоиммунные тиреоидиты [E06.3].
• Лекарственные тиреоидиты [E06.4].
Ведение пациентов с субклиническим гипотиреозом (ETA)
ТТГ — тиреотропный гормон. При ИБС, фибрилляции предсердий, сердечной недостаточности левотироксин нежелателен.
ФОРМУЛИРОВКА ДИАГНОЗА
• Аутоиммунный тиреоидит, гипотиреоз, декомпенсация. [E06.3]
• Первичный гипотиреоз, компенсированный. Тиреоидэктомия (2013) по поводу диффузного токсичеcкого зоба. [E03.8]
• Персистирующая фибрилляция предсердий. Гипотиреоз, ассоциированный с амиодароном. [I48.1]
• Микроваскулярная стенокардия. Субклинический гипотиреоз. [I20.8]
Лечение субклинического гипотиреоза и риск ИБС
Razvi S, et al. Arch Intern Med. 2012;172:811–7.
ЛЕЧЕНИЕ
• Левотироксин 1.6 мкг/кг/сут натощак, на ночь.
• Молодым терапевтическую дозу левотироксина сразу, пожилым 12.5–25 мкг/cут и повышать на 12.5–25 мкг каждый месяц.
• Подбор дозы контролировать через 6–8 нед до целевого уровня ТТГ 0.5–2.0 мЕд/л, замте через 4–6 мес и далее ежегодно.
• Комбинированные препараты (тироксин + трийодтиронин) при нарушении конверсии Т4 → Т3.
Связанные заболевания и их лечение
Описания заболеваний
Стандарты мед. помощи
Содержание
- Описание
- Причины
- Симптомы
- Диагностика
- Лечение
- Основные медицинские услуги
- Клиники для лечения
Названия
E02 Субклинический гипотиреоз вследствие йодной недостаточности.
Анатомические особенности щитовидной железы
Описание
Гипотиреоз — болезненное состояие, обусловленное прекращением или значительным снижением уровня секреции гормонов щитовидной железой. Гипотиреоз может быть как врожденный, так и приобретенным. При его врожденном характере или приобретенном в раннем детском возрасте (до 3 лет) у пациентов развивается кретинизм со свойственными ему психической и физической неполноценностью. Такие больные низкорослы, с бледно-серой морщинистой кожей лица («обезьянье» лицо), запавшим широким носом, низким лбом, кариозными зубами, они психически неполноценны, страдают глухотой, мышечной вялостью, запорами. У многих из них диагностируется узловой зоб. Кроме крайней степени психической неполноценности, наблюдаемой у кретинов, могут выявляться переходные варианты интеллектуального снижения, характеризующие кретиноидов.
Читайте также: Код по мкб 10 орви пневмония
Причины
Гипотиреоз может быть следствием как поражения самой щитовидной железы врожденного или приобретенного характера, так и нарушения гипоталамо-гипофизарной системы, сопровождающихся прекращением секреции стимулирующего функцию щитовидной железы тиреотропного гормона (ТТГ).
Гипотиреозы, обусловленные пороками развития и поражением щитовидной железы, называются первичными, а зависящие от нарушения гипофизарной регуляции щитовидной железы, — вторичными. Обе эти формы проявляются схожей клинической картиной.
Недостаточность железы, обусловленная эндемическим зобом, тиреоидитами, а также операцией на железе, чаще характеризуется неполным прекращением продукции тиреоидных гормонов.
Внешний вид больной гипотиреозом
Симптомы
Клиническая картина гипотиреоза определяется степенью нарушения секреторной функции железы, возрастом, в котором он возникает, конституциональными особенностями больного, а поэтому широко варьирует.
При тяжелом течении гипотиреоза у взрослых, кроме упоминавшихся выше симптомов, характерных для легкой степени заболевания, наблюдается резкая общая слабость, двигательная и психическая заторможенность, отечность и шелушение кожи, одутловатесть лица, охриплость голоса, медленная и невнятная речь, увеличение языка, выпадение волос, снижение температуры тела, замедление сердцебиения, запоры, понижение основного обмена, резкое снижение поглощения щитовидной железой радиоактивного йода-131, малокровие, повышение уровня холестерина в крови, уменьшение содержания белковосвязанного йода в сыворотке крови.
Прекращение функции щитовидной железы приводит к развитию микседемы, что является одним из признаков недостаточности щитовидной железы, обычно полной. Поэтому тяжело протекающие гипотиреозы нередко называют микседемой.
Нелеченный гипотиреоз сопровождается ускоренным развитием атеросклероза и его осложнений — инфаркта миокарда, тромбоза сосудов мозга и магистральных сосудов. Поэтому ранняя диагностика заболевания имеет важное значение для жизни больного.
Диагностика
В анализе крови на гормоны щитовидной железы выявляется:
* Повышение ТТГ.
* Снижение Т3 и Т4.
* Тиреоглобулин повышен.
* Тироксинсвязывающий глобулин понижен или в норме.
* Иногда опредеяются повышенные антитела к тиреоглобулину или к тиреопероксидазе.
Врожденный гипотиреоз
Лечение
Лечение больных первичным гипотиреозом проводится только тиреоидином или чистыми гормональными препаратами — тироксином, трийодтиронином, «протезирующими» функцию щитовидной железы. Такое лечение называется заместительным. Оно высокоэффективно у больных, у которых гипотиреоз возник в юношеском и взрослом возрасте, менее эффективно, когда заболевание развилось в детстве, и совсем неэффективно при врожденном гипотиреозе. При вторичном — гипофизарном — гипотиреозе кроме заместительного лечения необходимо назначение больным тиреотропного гормона.
Хирургическое вмешательство на щитовидной железе у больных гипотиреозом производится лишь при поражении железы.
В связи с успехами в трансплантации органов были проведены операции хирургического лечения при гипотиреозе путем пересадки больным щитовидной железы человека на сосудистой ножке.
Однако, как и ранее производившиеся таким больным пересадки ткани щитовидной железы, пересадки последней на сосудистой ножке дают лишь кратковременный эффект. Поэтому их выполение может быть оправдано лишь при непереносимости больными тиреоидных препаратов или неэффективности их.
Основные медуслуги по стандартам лечения |
||
Клиники для лечения с лучшими ценами
|












